Microsoft Excel

Microsoft Ads vs Google Ads performance

Use cases
Paid media
Data sources

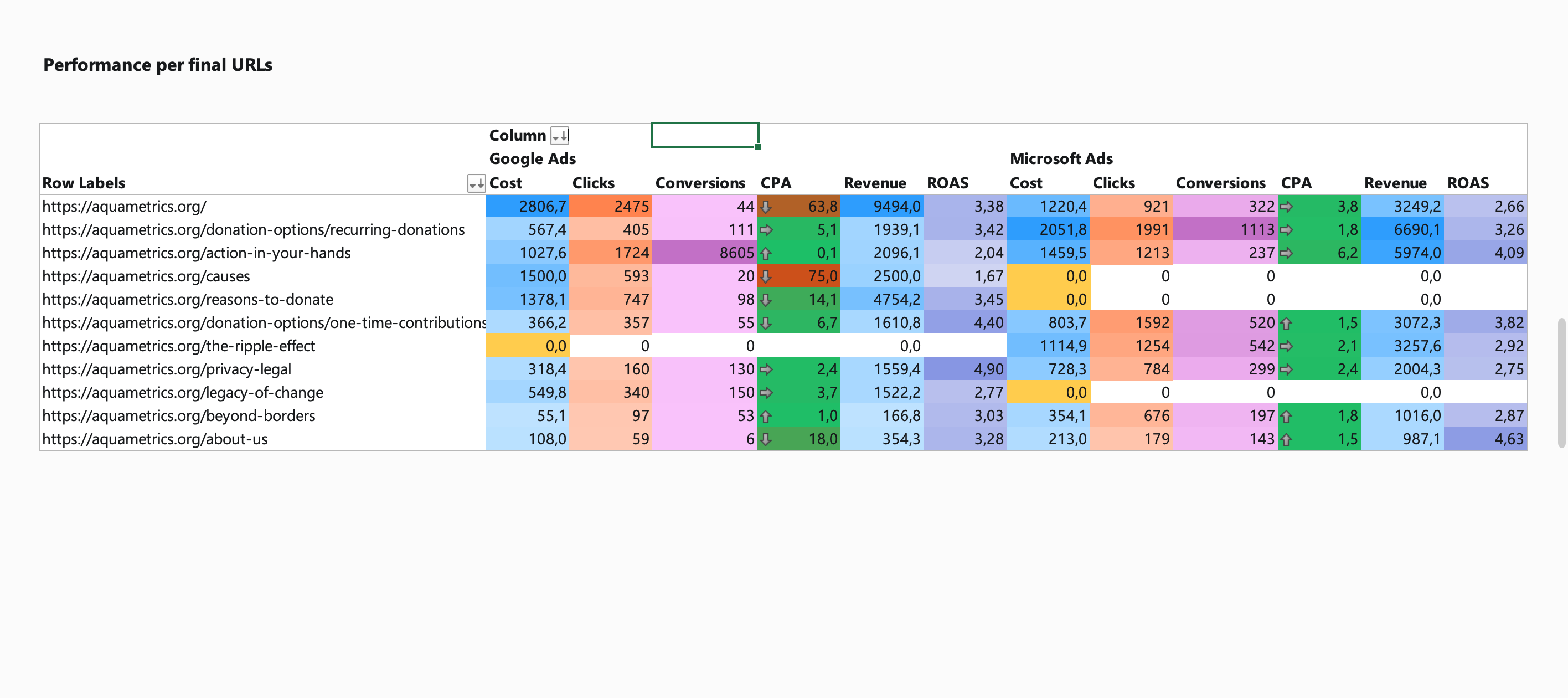
Visualize, compare, and optimize your Microsoft Ads and Google Ads performance with this Excel dashboard template. Get insights into cost efficiency, revenue impact, and return on ad spend with detailed visualizations and filters.

Get started

Trusted by 200,000+ companies in 120 countries


Side-by-side comparison


Insights at a glance


Actionable insights

Get Microsoft Ads and Google Ads data into Excel in simple steps


  1. Navigate to the “Data” tab in the top panel and choose "Show Supermetrics" at the right end of the panel.
  2. Authenticate to all data sources in the list and select the accounts you want to use, then click "Run queries".
  3. After queries have been successfully run, close the Supermetrics sidebar.
  4. Important: Under "Data" in the top panel, click "Refresh All" to refresh all pivot tables and charts in the document. This will be done automatically anytime the document is opened.
  5. Set up a scheduled refresh in the Supermetrics sidebar to always derive fresh insights.




Questions you can answer with this template


Compare and optimize your Microsoft Ads and Google Ads performance

Save time on cross-channel reporting, get clear insights, and reallocate your budget where it matters most. Gain full visibility into your paid search efficiency and ROI in a single dashboard.


What our clients say

Don’t just take our word for it

“Supermetrics helped us close a new 7-figure client thanks to our data warehouse offering. Along with thousands of hours in time savings, combining Supermetrics for Google Sheets and BigQuery has transformed our analytical capabilities.”

Tim Haag
Tim Haag
Analytics Director at Mindgruve

“Collecting data from fragmented data sources is something we struggle with everyday and this is something Supermetrics helps us with this.”

Jesse Korhonen
Jesse Korhonen
Insights Analyst at TBWA

“Before Supermetrics we could only work on 50% fewer projects. Now we’ve been able to double our client base and it’s given us the possibility to scale our business faster and in a more structured way. Without Supermetrics, it would have been very difficult for us to be this successful.”

Vicken Sayrin
Vicken Sayrin
Founder and Director at VS Com agency

See our other templates